Status blåtunge i Norge
I september 2024 ble blåtunge påvist i Norge, for første gang siden 2009. Fredag 1. august 2025 ble det igjen påvist et nytt tilfelle av blåtunge serotype 3, det første i sommersesongen 2025. Her finner du informasjon over påviste tilfeller av blåtunge hos sau og storfe i Norge.
Status blåtunge 2025
Fredag 1. august 2025 ble det igjen påvist et nytt tilfelle av blåtunge serotype 3, i Vestfold. Prøven ble tatt av en ku i forbindelse med kjøp og salg av dyr. Kua viste ingen sykdomstegn ved prøvetaking. Dette var det første tilfellet i sommersesongen 2025.
Meld fra til Mattilsynet
I Norge er sykdommen blåtunge en liste 1-sykdom og mistanke om eller påvisning av sykdommen skal umiddelbart meldes til Mattilsynet på telefon 22 40 00 00. Har du kontaktet praktiserende veterinær, skal veterinæren melde fra til Mattilsynet. Les mer om blåtunge på Mattilsynets nettsider.
Har innført områder med tiltak mot blåtunge
Mattilsynet og husdyrnæringen har innført tiltak i en sone som inkluderer kommunene der smitten ble påvist i 2024. Målet er å begrense spredning av sykdommen til andre deler av landet. Les om tiltaket på Mattilsynets nettsider.
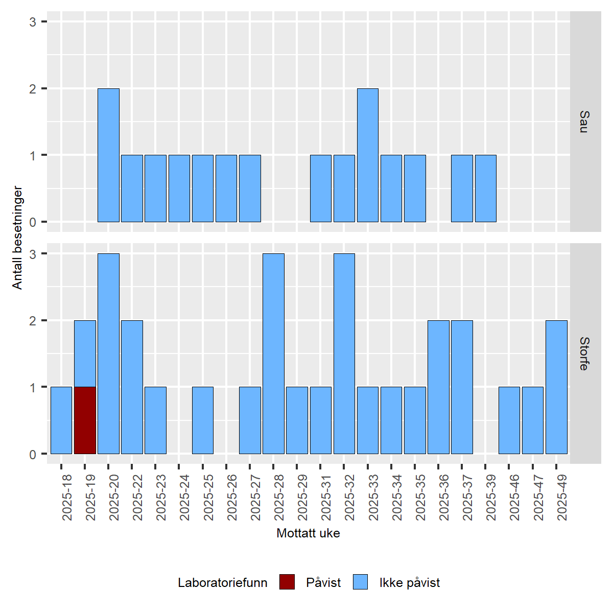
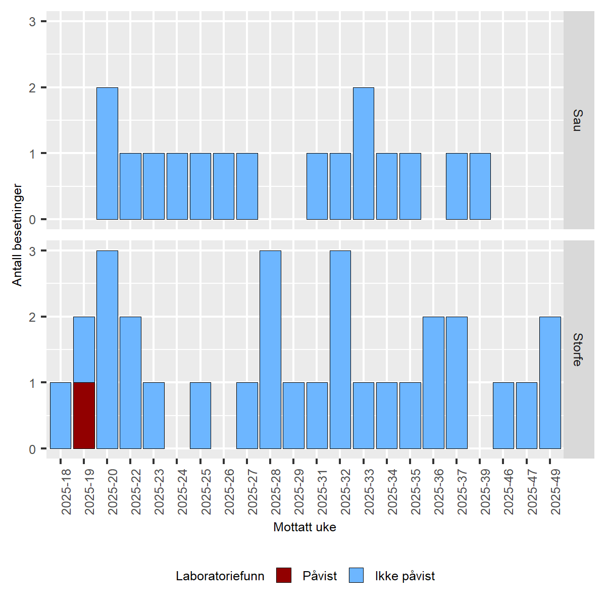
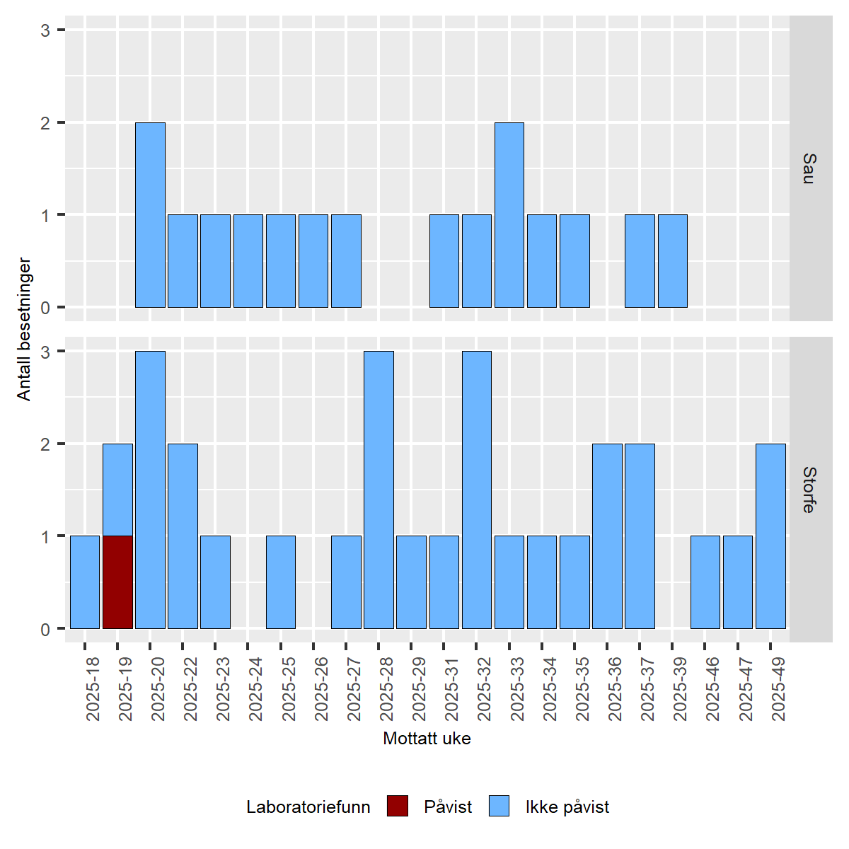
Undersøkelser av sau og storfe i Norge med mistanke om blåtunge fra og med 1. mai 2025:


Prøvetaking for blåtunge ved kjøp og salg
Relaterte saker
Blåtungevirus påvist på sau i Sør-Norge
Overvåkningsprogram av blåtunge i Norge
Blåtunge hos storfe, sau og geit
Relevante lenker
Spørsmål og svar om vaksinering mot blåtunge
Melkeundersøkelser viser omfanget av blåtungesmitte i Sør-Norge